Предмет: Математика,
автор: tortiko1
тот который ручка показывает)
Приложения:
Ответы
Автор ответа:
0
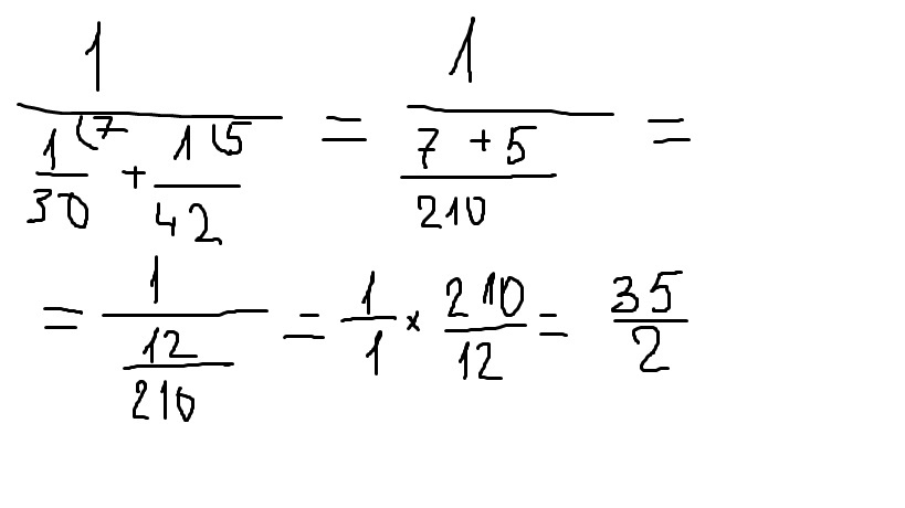
Ответом является число 35/2.
Приложения:
Автор ответа:
0
1:72/126=126/126 :72/126=7/4
Одна целая три четвертых
Простите, я не с ПК
Одна целая три четвертых
Простите, я не с ПК
Приложения:
Похожие вопросы
Предмет: Қазақ тiлi,
автор: milashkakosh023
Предмет: Физика,
автор: ulianakirpota
Предмет: Геометрия,
автор: yarik2008rf
Предмет: Биология,
автор: alenamanson
Предмет: Математика,
автор: Xboxing