Предмет: Информатика, автор: вера160

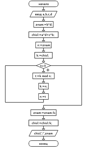
Приведите блок-схему алгоритма сложения двух обыкновенных дробей a/b и c/d.ПОЖАЛУЙСТА,СРОЧНО НАДО

Ответы

Автор ответа: A1dar
0
Находим числитель и знаменатель дроби и делим их на их наибольший общий делитель.
Приложения:
Похожие вопросы