Предмет: Математика, автор: Nata1599

Помогите решить один пример

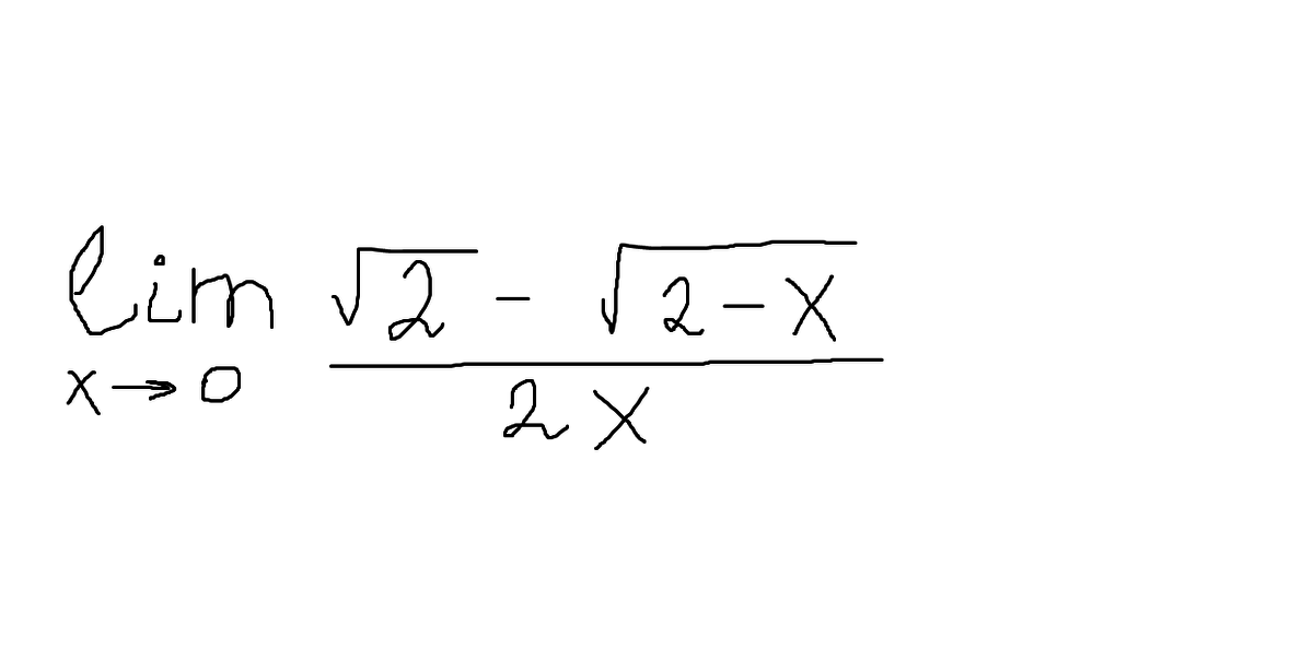
Приложения:

Ответы

Автор ответа: Exponena
0
 lim_{x to 0} { frac{ sqrt{2} - sqrt{2-x} }{2x} }= lim_{x to 0} { frac{ sqrt{2}(1 - sqrt{1-x/2}) }{2x} } = lim_{x to 0} { frac{(1 - sqrt{1-x/2}) }{x sqrt{2}} } = A
 Далее Воспользуемся соотношением эквивалентности (а может кто ряд Тэйлора помнит)
 lim_{x to 0} { sqrt{1+x} } = lim_{x to 0} (1+x/2)

Следовательно наш предел A:
A= lim_{x to 0} { frac{(1 -(1-x/4)) }{x sqrt{2}} }=lim_{x to 0} { frac{(1 -1+x/4)) }{x sqrt{2}} }=
lim_{x to 0} { frac{x/4 }{x sqrt{2}} }= frac{1}{4 sqrt{2} }

Похожие вопросы
Предмет: Алгебра, автор: karlee229