Предмет: Алгебра,
автор: лалала1111
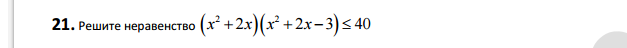
помогите, пожалуйста
Приложения:
Ответы
Автор ответа:
0
раскрой скобки,получится уравнение 4 степени,корни будут -4 и 2. не помню как этот метод ,в общем подбором получается,оставшийся трехчлен всегда больше 0.ответ от-4 до 2.
Похожие вопросы
Предмет: История,
автор: noname386794
Предмет: Физика,
автор: dmitriikomar2008
Предмет: Математика,
автор: Densil
Предмет: Геометрия,
автор: ВикторияLOL
Предмет: Литература,
автор: vladaakimenko