Предмет: Алгебра,
автор: Алина3456
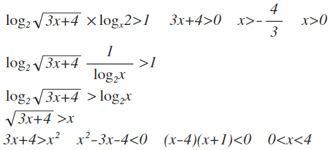
Помогите с логарифмическим неравенством(1 пример), пожалуйста...
Приложения:
Ответы
Автор ответа:
0
решение смотри во вложении
Приложения:
Похожие вопросы
Предмет: Алгебра,
автор: casper1985
Предмет: Физика,
автор: 34645757
Предмет: Информатика,
автор: azizbekovaasema8
Предмет: Литература,
автор: Dennis577
Предмет: Физика,
автор: damir2012