Предмет: Алгебра,
автор: nastena0330
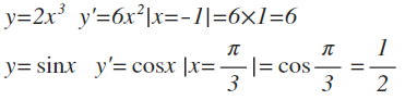
Найти производную функции в точке Y=2x³, x=-1; Y=sinx, x₀= П/3
Ответы
Автор ответа:
0
решение смотри во вложении
Приложения:
Похожие вопросы
Предмет: Қазақ тiлi,
автор: devo4ka395
Предмет: Английский язык,
автор: tajgeltiragmailcom
Предмет: Математика,
автор: 5k2z
Предмет: Физика,
автор: danil149
Предмет: География,
автор: Зайка123456