Предмет: Алгебра,
автор: Ленка15Пенка
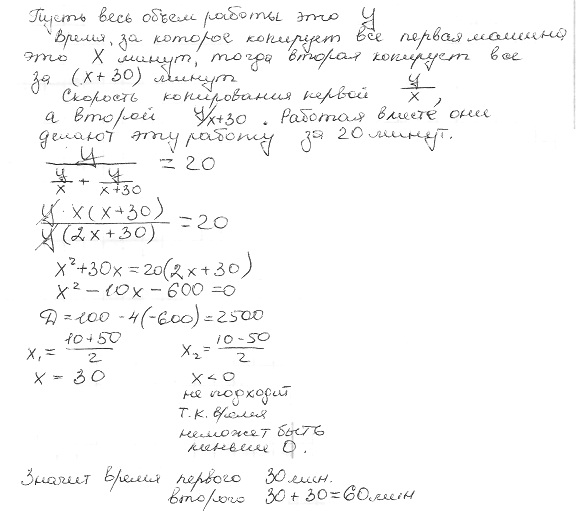
: На двух копировалтных машинах работающих одновременно, сделали копию пакета документов за 20 мин. За какое время можно было выполнить эту работу на каждый из них в отдельности, если известно, что при работе на первой машине для этого требуеться на 30 мин. меньше, чем при работе на второй
Ответы
Автор ответа:
0
В отдельности первая машина скопирует этот пакет документов за 30 минут, а вторая за 60 минут
Приложения:
Похожие вопросы
Предмет: Қазақ тiлi,
автор: plois
Предмет: Українська мова,
автор: sasaaaahhhh
Предмет: Русский язык,
автор: nazerkejomartkyzy07
Предмет: Алгебра,
автор: Anastasi9
Предмет: Алгебра,
автор: Evgen128