Предмет: Алгебра,
автор: LA2017
помогите пожалуйста!!!!
Приложения:
Ответы
Автор ответа:
0
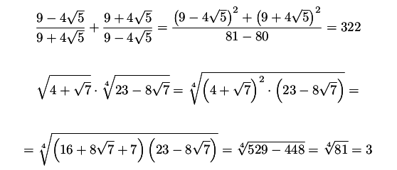
приведем к одному знаменателю домножим первую дробь на 9 - 4кор 5
вторую на 9 + 4кор 5
получим
(9-4кор5)2 + (9+4кор5)2/ 81 - 80 = 81 - 72кор5 +80+81+72кор5+80/1=81+80+81+80=322
вторую на 9 + 4кор 5
получим
(9-4кор5)2 + (9+4кор5)2/ 81 - 80 = 81 - 72кор5 +80+81+72кор5+80/1=81+80+81+80=322
Автор ответа:
0
спасибо
Автор ответа:
0
/ - это разделить????
Автор ответа:
0
да это деление
Автор ответа:
0
Решение смотрите в вложении
Приложения:
Автор ответа:
0
спасибо
Похожие вопросы
Предмет: История,
автор: marinakostinuk26
Предмет: Математика,
автор: superkoshechka2020
Предмет: Математика,
автор: niyazb201010
Предмет: Математика,
автор: Аноним