Предмет: Математика,
автор: Карина121111111111
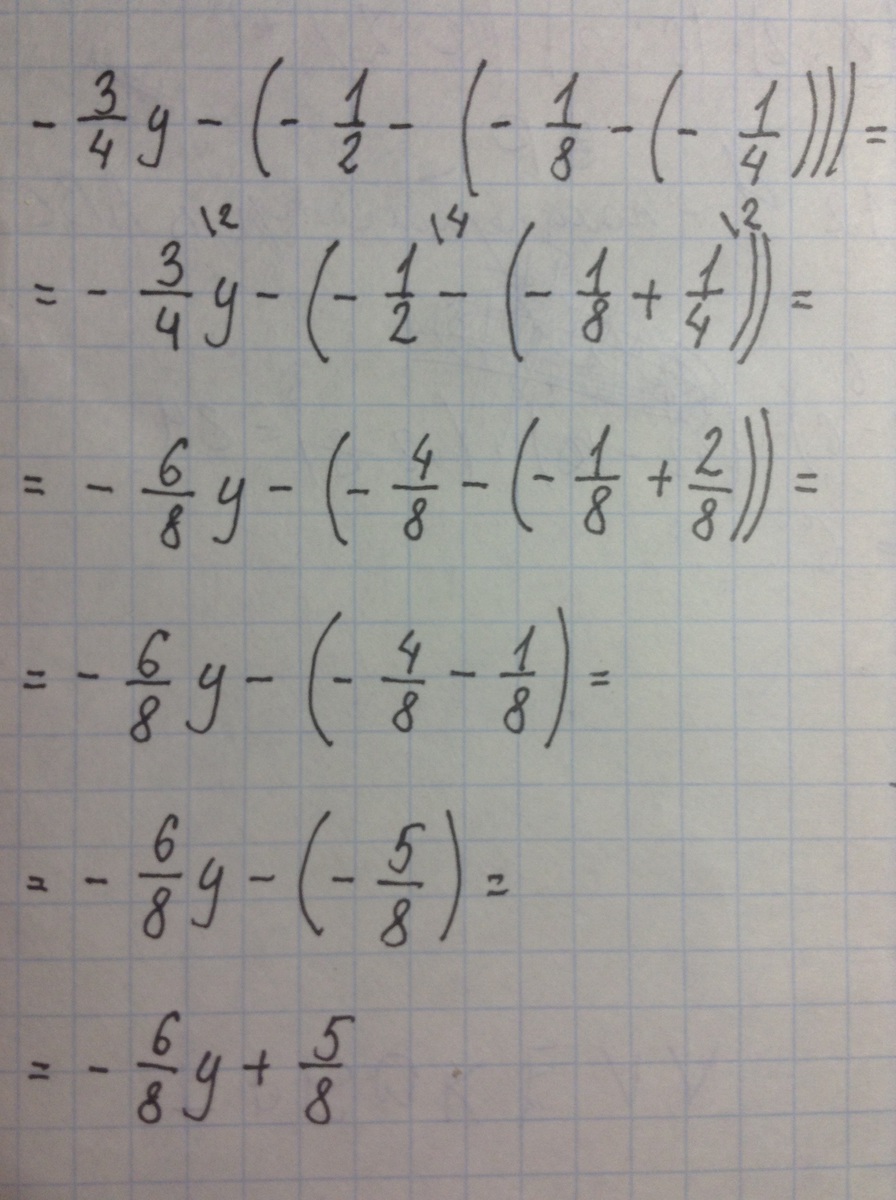
-3/4y-(-1/2-(-1/8-(-1/4)))
Ответы
Автор ответа:
0
Ответ и решение во вложениях
Приложения:
Похожие вопросы
Предмет: Алгебра,
автор: ilnarailmasovna
Предмет: Английский язык,
автор: sofia123357
Предмет: Математика,
автор: alexander1975kill
Предмет: Литература,
автор: гомосзомби