Предмет: Алгебра, автор: Аноним

помогите пожалуйста люди

Приложения:

Ответы

Автор ответа: Дашаi158
0
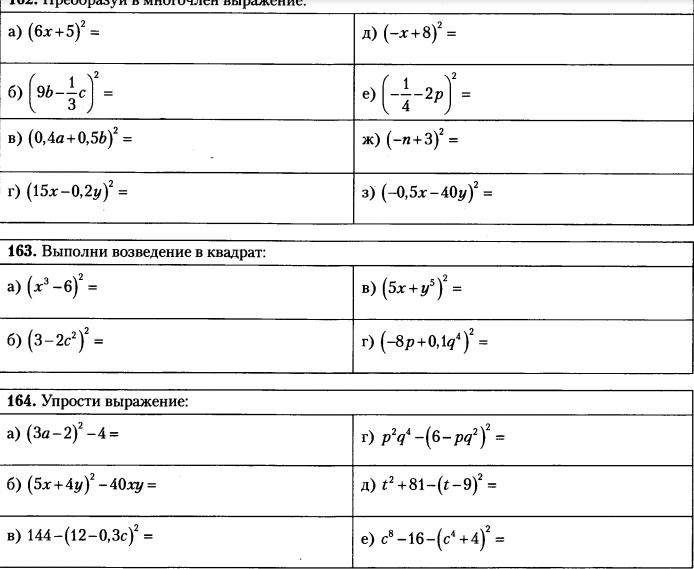
так это же по формуле (а-b)^2=a^2-2ab+b^2 (a+b)^2=a^2+2ab+b^2
например (6х+5)^2=(6x)^2-2*6x*5+5^2=36x^2-60x+25

Похожие вопросы
Предмет: Литература, автор: Alialmatov
ПРОБУЕМ СОЧИНИТЬ Прочитай заметку из газеты об историческом фестивале: “В 2003 году на Всероссийском военно-историческом фестивале "День Бородина" впер- вые была проведена инсценировка великой битвы. Участники игрового сражения были одеты в форму солдат и офицеров 1812 года, использовали оружие той эпохи, здесь все выглядело по-настоящему. "Бой” происходил с переменным успехом. Десятки тысяч зрителей получили в тот день яр- чайшие впечатления, почувствовали себя участниками далеких событий. С тех пор фестиваль проводится каждый год в день Бородинской битвы. На это впечатляющее зрелище приезжают не только россияне, но и ино- странцы". - Попробуй и ты стать участником этого фестиваля. Напиши репортаж с места событий, в конце своей творческой работы сделай вывод: с какой целью ежегодно проводится такое мероприятие. ​
Предмет: Русский язык, автор: kardachovkostyz2008
Предмет: Математика, автор: abylgazinakamila6