Предмет: Алгебра,
автор: 89530942657alla
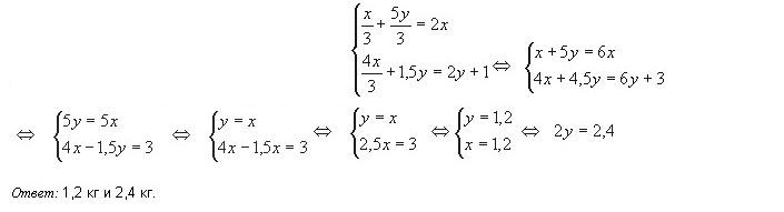
имеется 2 слитка сплавов золота и меди. в первом слитке отношение золота к меди равно 1 : 2, а во втором 2 : 3. если сплавить 1/3 первого слитка с 5/6 второго, то в получившемся слитке окажется столько золота, сколько в первом было меди, а если 2/3 первого сплавить с 1/2 второго, то в получившемся слитке окажется меди на 1 кг больше, чем было золота во втором слитке. сколько золота было в каждом слитке
Ответы
Автор ответа:
0
Пусть в первом слитке содержится х кг золота и 2х кг меди. Тогда масса всего слитка 3х кг. Пусть во втором слитке содержится 2у кг золота и 3у кг меди. Тогда масса всего слитка 5у кг.
Приложения:
Похожие вопросы
Предмет: Математика,
автор: Аноним
Предмет: ОБЖ,
автор: CcosmosS
Предмет: Қазақ тiлi,
автор: Аноним
Предмет: Математика,
автор: рыжовакарина