Предмет: Алгебра,
автор: kotya456
Помогите пожалуйста разложить на множители!!!!
Приложения:
Ответы
Автор ответа:
0
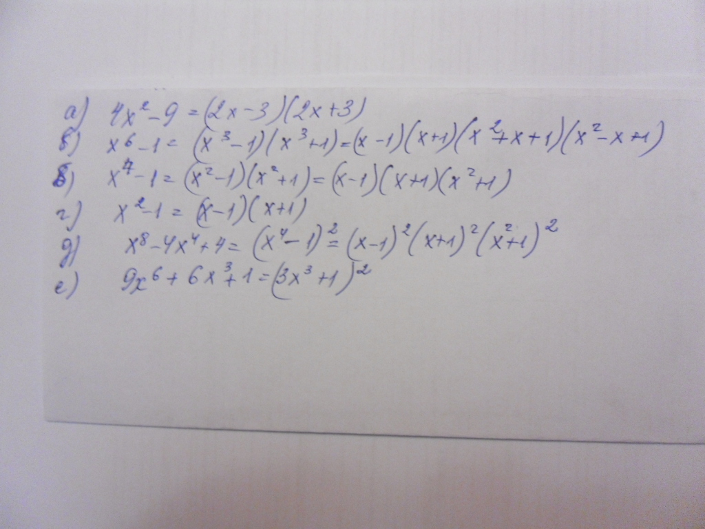
Решение на фотографии
Приложения:
Автор ответа:
0
1)(2x-3)(2x+3)
2)(x^2-1)(x^2+1)
4)(x-1)(x+2)
5)(x^4-2)^2
6)(3x^3+1)^2
2)(x^2-1)(x^2+1)
4)(x-1)(x+2)
5)(x^4-2)^2
6)(3x^3+1)^2
Приложения:
Похожие вопросы
Предмет: История,
автор: garaevd790
Предмет: Геометрия,
автор: radionvovk5
Предмет: Русский язык,
автор: Аноним
Предмет: Математика,
автор: Аноним