Предмет: Математика,
автор: 1998aleksandr2016
Решите пожалуйста решить математику очень срочно
Приложения:
Ответы
Автор ответа:
0
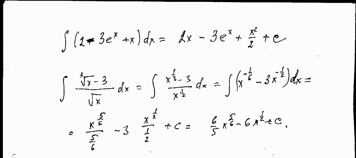
Применим правило интегрирования суммы в 1 примере, а во втором разделим числитель на знаменатель и получим сумму.
Приложения:
Похожие вопросы
Предмет: Биология,
автор: stinks4111
Предмет: Геометрия,
автор: egormcrtychyane
Предмет: Геометрия,
автор: vosemnadcatmne702
Предмет: Математика,
автор: 1331RUS