Предмет: Алгебра,
автор: lian11ka
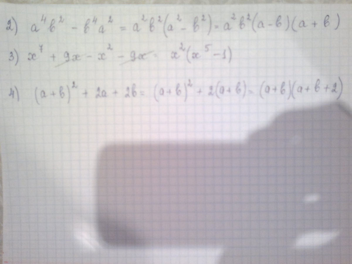
Разложите на множители: 1)-х^2-10х-2. 2)а^4b^2-b^4a^2. 3)x^7+9x-x^2-9x. 4)(a+b)^2+2a+2b
Ответы
Автор ответа:
0
пишите, если что не так
Приложения:
Похожие вопросы
Предмет: Қазақ тiлi,
автор: asanalibolatuly
Предмет: Физика,
автор: bejsembaevrasid4
Предмет: Қазақ тiлi,
автор: Аноним
Предмет: Биология,
автор: natashka6