Предмет: Математика,
автор: oth94oth
вычислить обьем тела образованного вокруг оси Ox фигуры ограниченной указанными линиями y=cosx , x=пи/6 , х=пи/3 , у=0. Сделать чертеж, ребят ХЕЛП!
Ответы
Автор ответа:
0
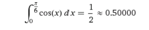
Тоесть, площадь равна 1/2
Приложения:
Похожие вопросы
Предмет: Русский язык,
автор: beihenalievkairat
Предмет: Математика,
автор: danikhink200563
Предмет: Информатика,
автор: gsyrczova
Предмет: Математика,
автор: Аноним