Предмет: Математика,
автор: umnik43
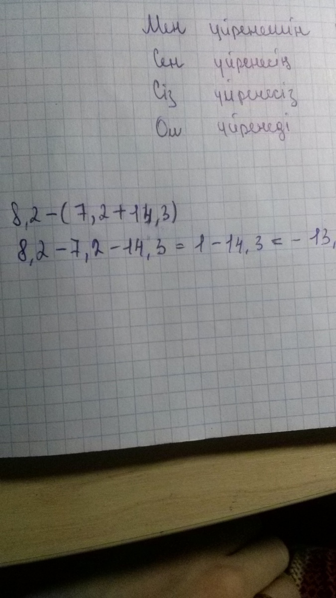
раскройте скобки и упростите выражение 8.2-(7.2+14.3)
Ответы
Автор ответа:
0
1)8,2-7,2=1
2)1+14,3=15,3
Автор ответа:
0
Спасибо
Автор ответа:
0
в фото все расписано
Приложения:
Автор ответа:
0
Спасибо
Похожие вопросы
Предмет: Математика,
автор: gorobecm392
Предмет: Литература,
автор: Аноним
Предмет: Алгебра,
автор: nik712341
Предмет: Алгебра,
автор: hooliganka15
Предмет: Обществознание,
автор: rhufdhuuhfr