Предмет: Математика,
автор: alena5533
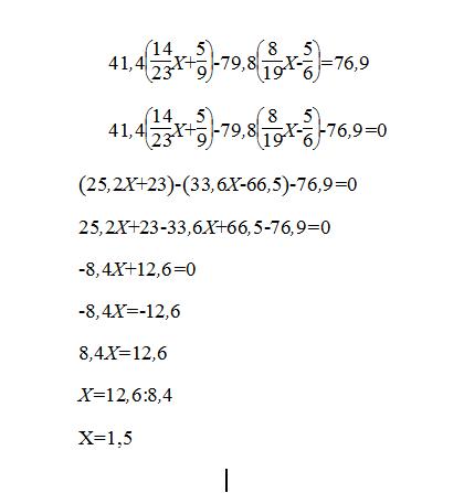
РЕшите уравнение люди пЛиз :
41,4( 14/23х+5/9)-79,8(8/19х-5/6)=76,9
Упрощение
25,2х+23-75,6х-66,5=76,9
Ответ. Х=1.5 нужно решение до завтра плиз
Ответы
Автор ответа:
0
===============================================================
Приложения:
Похожие вопросы
Предмет: Русский язык,
автор: Cheburek651
Предмет: Английский язык,
автор: bulheevao
Предмет: Литература,
автор: BlackAngel2020
Предмет: Алгебра,
автор: katar
Предмет: Химия,
автор: AngryTee