Предмет: Математика,
автор: Кристина56711
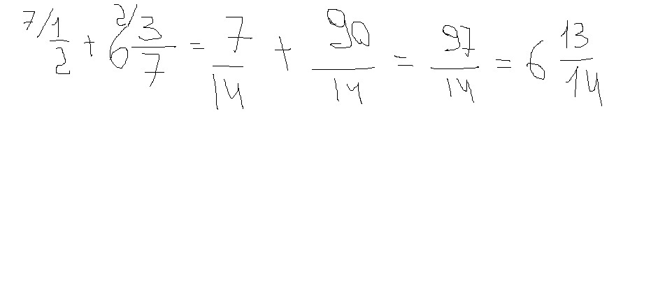
Найти значение выражение 1/2+6целых3/7
Ответы
Автор ответа:
0
Решая все постепенно получится именно так)
Приложения:
Автор ответа:
0
Компа нету
Автор ответа:
0
Напиши пожалуйста
Автор ответа:
0
1/2 коэф(7)+6 3/7коэф(2)= 7/14+90/14=6целых 13/14
Автор ответа:
0
Что такое коэф?
Автор ответа:
0
Приводим к общему знаменателю, или коэф умножения
Похожие вопросы
Предмет: Українська мова,
автор: vasyapupkin3654
Предмет: Литература,
автор: smertanosnyjkudik
Предмет: Русский язык,
автор: jkxdqfckqz
Предмет: Математика,
автор: 1401Alena