Предмет: Алгебра,
автор: Shubina13
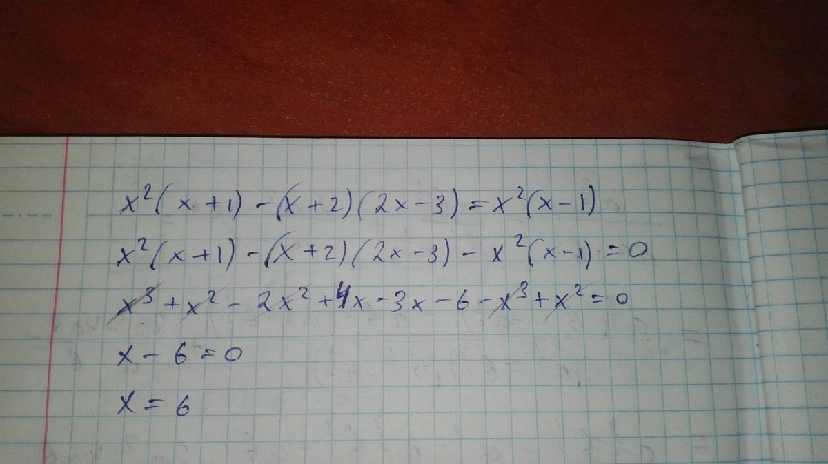
Помогите решить уровнение x² (x+1)-(x+2)(2x-3)=x²(x-1)
Ответы
Автор ответа:
0
Перенести, раскрыть скобки, сократить
Приложения:
Похожие вопросы
Предмет: Информатика,
автор: ka6an4ik0786
Предмет: Қазақ тiлi,
автор: Smagulovakapi
Предмет: Биология,
автор: Kashalot33rus
Предмет: Математика,
автор: danil555655
Предмет: Математика,
автор: horsecatdog