Предмет: Математика,
автор: таньша
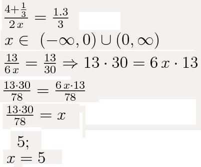
4 целых одна третья : (2x) = 1,3 : 3
в ответе должно быть 5
Ответы
Автор ответа:
0
Что именно необходимо? Опишите верно условие и я решу.
Я успешно решил ваше задание написав в WORD потом сделав скрин. Посмотрите скрин который я прикрепил сюда
Приложения:
Автор ответа:
0
4 1/3 / (2х) = 1,3 / 3
4 10/30 / 2х = 13/30
130/30 / 2х = 13/30
Теперь решаем как пропорцию:
130/30 * 30 = 13 * 2х
3900/30 = 26х
26х = 130
х = 130/26
х = 5
Ответ: х = 5.
Приложения:
Похожие вопросы
Предмет: Русский язык,
автор: maksim2010averkin
Предмет: Литература,
автор: dianarahatova74
Предмет: Алгебра,
автор: ualithan
Предмет: Математика,
автор: ВикусяРевенко