Предмет: Математика,
автор: jeka312001
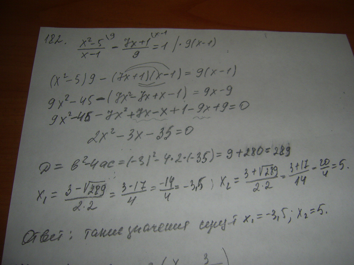
помогите пожалуйста №182,183
Приложения:
Ответы
Автор ответа:
0
Ответ в приложении.............
Приложения:
Автор ответа:
0
если видно плохо, я два раза сфоткала
Похожие вопросы
Предмет: Физика,
автор: duev5388973
Предмет: Другие предметы,
автор: viktoria8686
Предмет: Математика,
автор: artemnikita072503
Предмет: Математика,
автор: themostbeautifu
Предмет: Математика,
автор: blissfully