Предмет: Алгебра, автор: Janyabelieber

как решить систему уравнении?

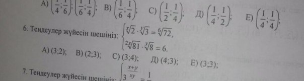
Приложения:

Ответы

Автор ответа: mefody66
0
 left { {{2^{1/x}*3^{1/y}=72^{1/6}} atop {81^{1/2x}*8^{1/x}=6}} right.
 left { {{2^{1/x}*3^{1/y}=(2^3)^{1/6}*(3^2)^{1/6}=2^{1/2}*3^{1/3}} atop {3^{2/x}*2^{3/x}=3*2}} right.
x = 2; y = 3
Других ответов нет
Автор ответа: mefody66
0
Извиняюсь, опечатка. Во втором уравнении 8^(1/y) = 2^(3/y)
Похожие вопросы
Предмет: Математика, автор: sofailina299