Предмет: Математика,
автор: alenka21041
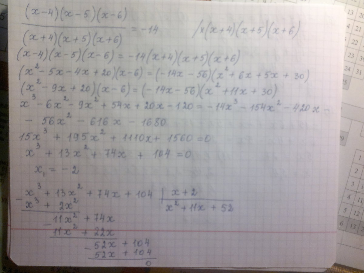
(x-4)(x-5)(x-6)/((x+4)(x+5)(x+6))=-14
помогите решить
Ответы
Автор ответа:
0
пишите, если что не так
Приложения:
Автор ответа:
0
Спасибо! Думала, что может есть какой-то метод именно для такого типа уравнений
Автор ответа:
0
Ну ничего себе труд! Отметьте решение , как лучшее!) Я тоже надеялся увидеть, что-нибудь попроще.я
Похожие вопросы
Предмет: Русский язык,
автор: danagabrielyan
Предмет: География,
автор: ulaugu002
Предмет: Русский язык,
автор: anfisapereverzeva
Предмет: Математика,
автор: knlnhjbl