Предмет: Математика, автор: doctor17

производные, можно подробно с объяснениями

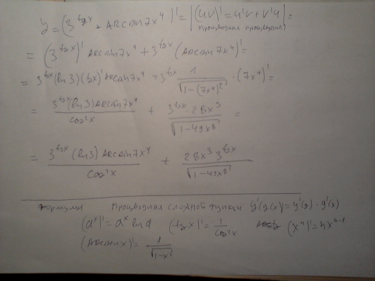
Приложения:

Ответы

Автор ответа: DedushkaBake
0
....................................................................................
Приложения:
Автор ответа: doctor17
0
Спасибо большое, все понял.
Похожие вопросы
Предмет: Геометрия, автор: Аноним
Предмет: Химия, автор: Аноним
Предмет: География, автор: Светик141082