Предмет: Алгебра,
автор: Bella143
Вычислить :
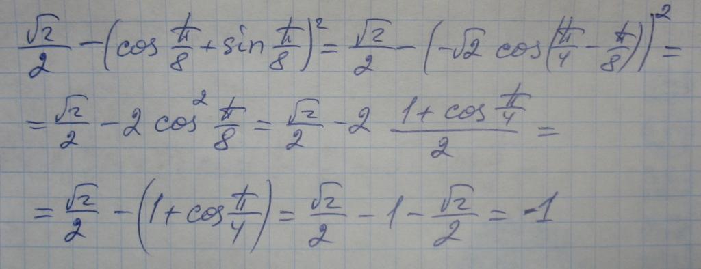
(cosπ/8-sinπ/8)^2
Ответы
Автор ответа:
0
Ответ в файле. Пользуйся на здоровье :э
Приложения:
Автор ответа:
0
Решение вот такое: √2*sinπ/4=√2*√2/2=1
Приложения:
Похожие вопросы
Предмет: Английский язык,
автор: kuzminamorozova
Предмет: Английский язык,
автор: 2121212124
Предмет: Математика,
автор: Аноним
Предмет: Литература,
автор: georgygekalo201
Предмет: Математика,
автор: yrin