Предмет: Алгебра,
автор: Громова203
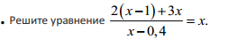
Решите уравнение
помогите пожж
Приложения:
Ответы
Автор ответа:
0
(x-0.4) - общий знаменатель
2(x-1)+3x-x(x-0.4)=0
2x-2+3x-x^2+0.4x=0
-x^2+5.4x-2=0
D=(2.7)^2-(-2)*(-1)=7.29-2=5.29
√D=2.3
x1=-5.4+2.3/-1=-3.1/-1=3.1
x2=-5.4-2.3/-1=-7.7/-1=7.7
OTBET : 7.7 ; 3.1 ;
2(x-1)+3x-x(x-0.4)=0
2x-2+3x-x^2+0.4x=0
-x^2+5.4x-2=0
D=(2.7)^2-(-2)*(-1)=7.29-2=5.29
√D=2.3
x1=-5.4+2.3/-1=-3.1/-1=3.1
x2=-5.4-2.3/-1=-7.7/-1=7.7
OTBET : 7.7 ; 3.1 ;
Автор ответа:
0
через дискриминант
Автор ответа:
0
избавилась от - х2
Автор ответа:
0
разделив на -1
Автор ответа:
0
и получилось х2-5,4х+2=0
дальше по дискр.
дальше по дискр.
Автор ответа:
0
если решать через твое уравнение, то решение не получится быстрым способом. То что я вам решила - это правильно
Похожие вопросы
Предмет: Биология,
автор: Аноним
Предмет: Алгебра,
автор: sssshuster
Предмет: Английский язык,
автор: raisatgadzimusaeva34
Предмет: Обществознание,
автор: Dachuna2001
Предмет: Математика,
автор: Xyliganka11