Предмет: Алгебра,
автор: Аноним
ПОМОГИТЕ! Преобразуйте уравнение!
Спасибо!!!
Приложения:
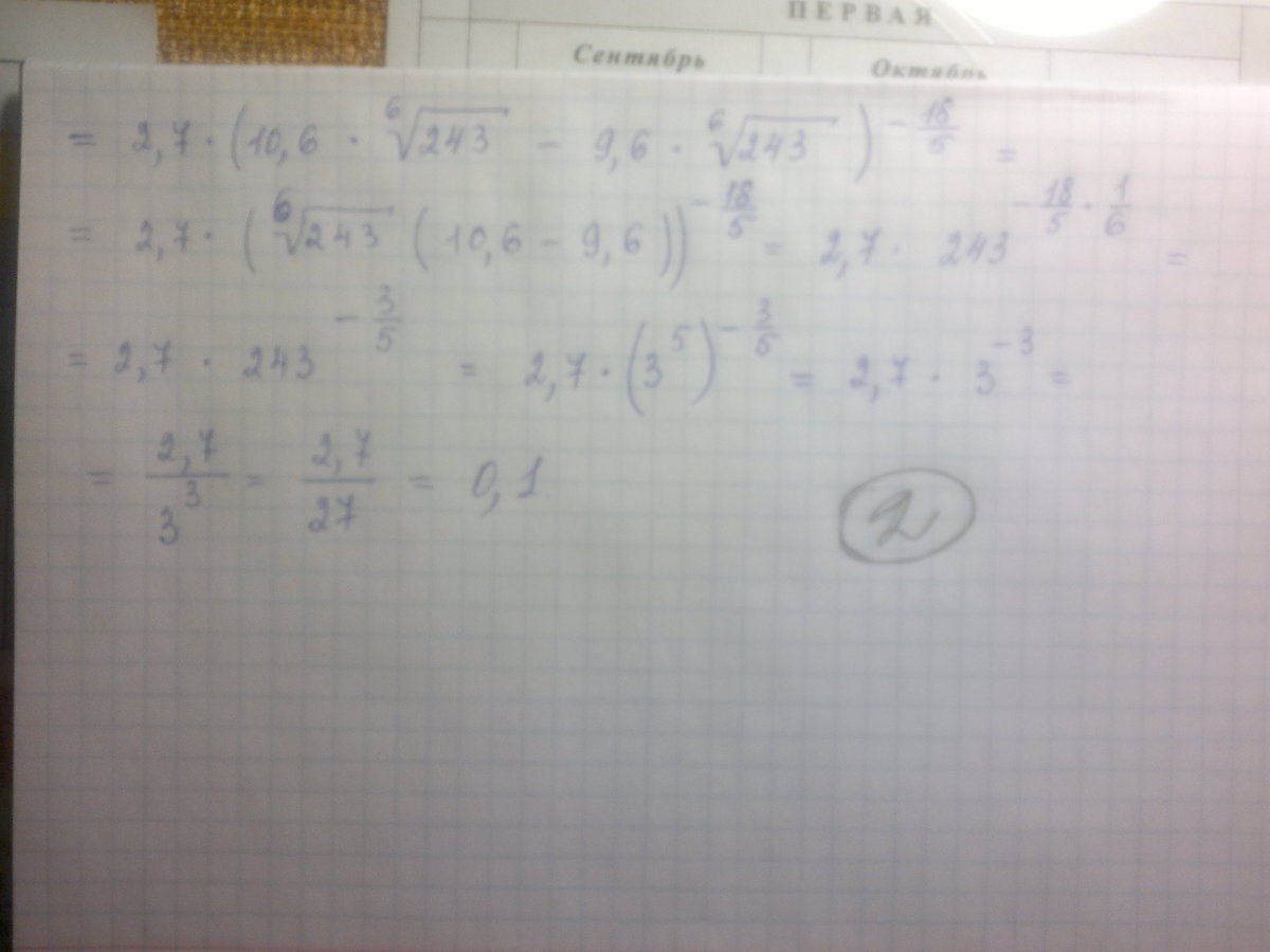
Ответы
Автор ответа:
0
пишите, если что не так
Приложения:
Автор ответа:
0
Спасибо!!!
Похожие вопросы
Предмет: Геометрия,
автор: Dasha20560
Предмет: Химия,
автор: alina469628
Предмет: Химия,
автор: frdf187
Предмет: Математика,
автор: liyaabdilmanova
Предмет: История,
автор: ShahinRM07