Предмет: Геометрия,
автор: Titrones
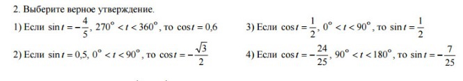
Выберите верное утверждение
Приложения:
Ответы
Автор ответа:
0
1) Верно
---------------------------------------
---------------------------------------
Автор ответа:
0
Можешь пояснить?
Автор ответа:
0
:D
Самое первое, это неправильные знаки в остальных по четвертям.
Во-воторых, можно проверить с помощью основного тригонометрического тождества. Для верности.
Самое первое, это неправильные знаки в остальных по четвертям.
Во-воторых, можно проверить с помощью основного тригонометрического тождества. Для верности.
Похожие вопросы
Предмет: Математика,
автор: Ponchik65700
Предмет: Математика,
автор: mirzanovadzamila
Предмет: Математика,
автор: mansurovaajgul288
Предмет: Математика,
автор: Аноним