Предмет: Алгебра,
автор: apologise
пожалйстааааа
ответы фоткайте а то я так не поиму
Приложения:
Ответы
Автор ответа:
0
первая система:
первое уравнение домножаем на 4, второе домножаем на минус 3 (-3), получаем:
12х+8у=28 и -12х+15у=-120, сложим полученные уравнения и найдем что у=-4, подставим полученное значение переменной в любое из уравнений и найдем Х=5
Автор ответа:
0
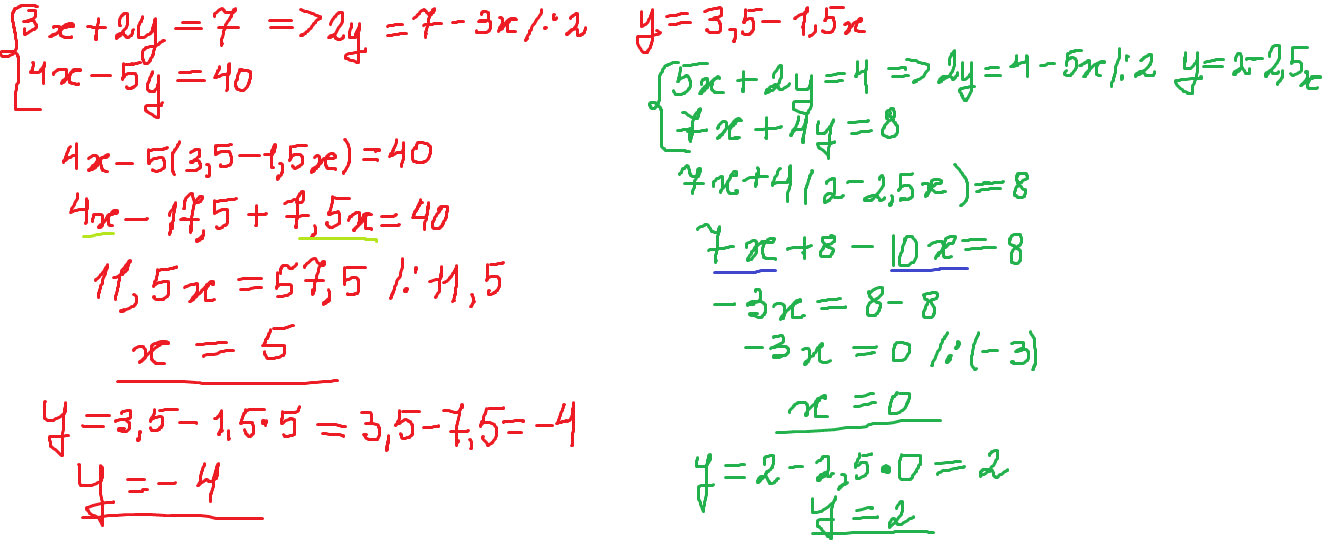
Вот, посмотри решение)
Приложения:
Похожие вопросы
Предмет: Литература,
автор: Аноним
Предмет: Химия,
автор: erikla321
Предмет: Математика,
автор: muhtarovemir12
Предмет: Математика,
автор: кира2003