Предмет: Информатика,
автор: Renа
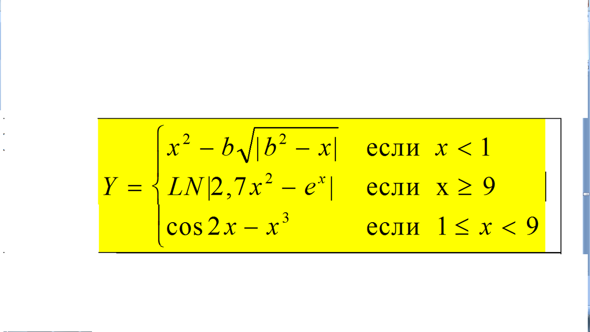
срочно!! помогите,пожалуйста.Составить блок-схему и программу на языке Паскаль вычисления значений функции y=f(x) для аргумента x, изменяющегося от xn до xk с шагом h.
Приложения:
Ответы
Автор ответа:
0
Можно задачу решать так, как показано ниже (с использованием констант), а можно все данные вводить с клавиатуры.
const xn=-1.5; xk=1.5; h=0.1; b=2;
var x,y:real; i,n:integer;
begin
x:=xn-h;
n:=round((xk-xn)/h)+1;
writeln(' x y');
for i:=1 to n do
begin
x:=x+h;
if x<1 then y:=x*x-b*sqrt(abs(b*b-x))
else if x<9 then y:=cos(2*x)-x*x*x
else y:=ln(abs(2.7*x*x-exp(x)));
writeln(x:4:1,y:8:3);
end;
end.
const xn=-1.5; xk=1.5; h=0.1; b=2;
var x,y:real; i,n:integer;
begin
x:=xn-h;
n:=round((xk-xn)/h)+1;
writeln(' x y');
for i:=1 to n do
begin
x:=x+h;
if x<1 then y:=x*x-b*sqrt(abs(b*b-x))
else if x<9 then y:=cos(2*x)-x*x*x
else y:=ln(abs(2.7*x*x-exp(x)));
writeln(x:4:1,y:8:3);
end;
end.
Похожие вопросы
Предмет: Русский язык,
автор: almazseitkali667
Предмет: Алгебра,
автор: valerialukomskaa
Предмет: Математика,
автор: Stadnikalisa
Предмет: Алгебра,
автор: Аноним