Предмет: Алгебра,
автор: alenkanegod
решите !!!пожалуйста!!!
Приложения:
Ответы
Автор ответа:
0
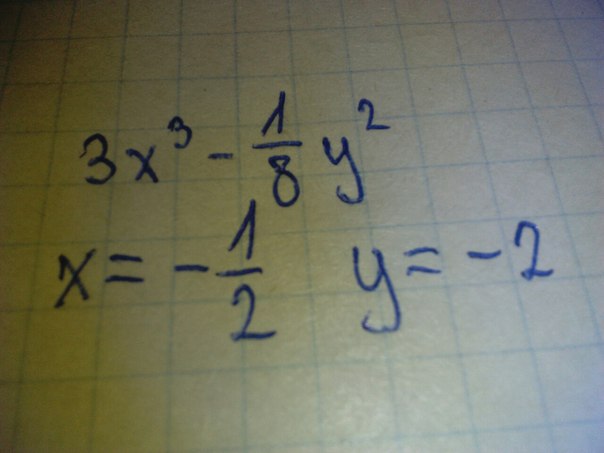
3(-1/2)3-1/8(-2)2 Ответ -7/8
Автор ответа:
0
3(-1/2)³-1/8*(-2)²=3*(-1/8)-1/8*4=-3/8-1/2=(-3-4)/8=-7/8
Похожие вопросы
Предмет: Математика,
автор: logunanaeb
Предмет: Алгебра,
автор: asdfgh0112
Предмет: География,
автор: pansinadominika9
Предмет: Алгебра,
автор: Валентинка97
Предмет: Математика,
автор: Tanusha2003Sarov