Предмет: Алгебра,
автор: Revsgg
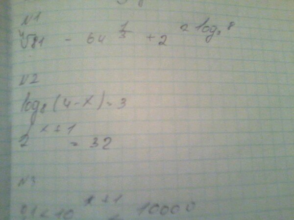
Решите 2 задания.
Приложение в описании.
Приложения:
Ответы
Автор ответа:
0
Ага тот чел. правильно решил.
Похожие вопросы
Предмет: Русский язык,
автор: Аноним
Предмет: Английский язык,
автор: 12345678840
Предмет: География,
автор: aylinkerimli2008
Предмет: Физика,
автор: КотУчёныйМяу
Предмет: Физика,
автор: Lemyr15