Предмет: Алгебра,
автор: arai1604
ПОМОГИТЕ ПОЖАЛУЙСТА!!!
Приложения:
Ответы
Автор ответа:
0
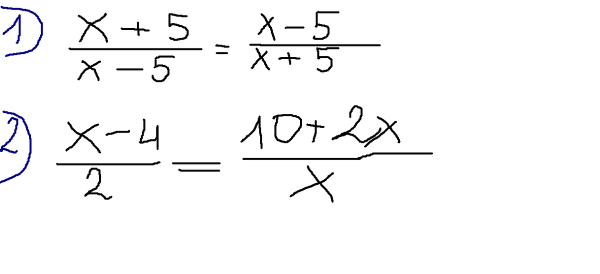
1) Приводим к общему знаменателю
(x+5)^2 = (x-5)^2
Раскрываем скобки приводим общие члены
x^2+10x+25=x^2-10x+25
20x=0
Ответ:x=0
Проверка -1 = -1
2) Аналогично
x^2-4x=20+4x
x^2-8x-20=0
Решаем квадратное уравнение
Дискриминант = 144
Корни = Х1=10 и Х2= -2
Ответ: по тексту
(x+5)^2 = (x-5)^2
Раскрываем скобки приводим общие члены
x^2+10x+25=x^2-10x+25
20x=0
Ответ:x=0
Проверка -1 = -1
2) Аналогично
x^2-4x=20+4x
x^2-8x-20=0
Решаем квадратное уравнение
Дискриминант = 144
Корни = Х1=10 и Х2= -2
Ответ: по тексту
Автор ответа:
0
А знаменатели нужно писать?
Автор ответа:
0
НЕТ не нужно
Автор ответа:
0
Я так ДУМАЮ, но это НЕ ФАКТ. Попробуй
Похожие вопросы
Предмет: Физика,
автор: aleevagirl
Предмет: Английский язык,
автор: mkaty9269
Предмет: Оʻzbek tili,
автор: zamorskayakakaxa
Предмет: Математика,
автор: bakitbek1971