Предмет: Алгебра,
автор: Grossik
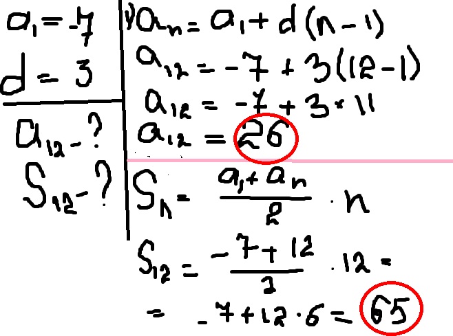
В арифметической прогрессии а1=-7 . d = 3 ,найдите а12,и сумму первых двенадцати членов этой прогрессии
Ответы
Автор ответа:
0
объяснение во вложении
Приложения:
Автор ответа:
0
Приложения:
Похожие вопросы
Предмет: Литература,
автор: Аноним
Предмет: Биология,
автор: Rasul63048293
Предмет: Геометрия,
автор: Аноним
Предмет: Алгебра,
автор: krevetk01