Предмет: Геометрия,
автор: bella30
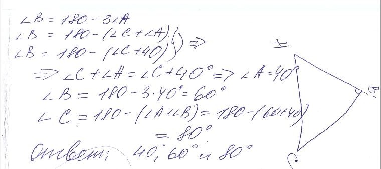
1. Внешний угол треугольника при вершине В в три раза больше его внутреннего угла А и на 40 градусов больше внутреннего угла С. Найдите углы треугольника. 2. Два внешних угла треугольника 120 и 160 градусов. найдите его внешний третий угол. Сделайте вывод о сумме внешних углов треугольника.
2. Внешний угол треуг-ка при вершине В в три раза больше его внутреннего угла А
и на 40 градусов больше внутреннего угла С. Найдите углы треугольника.
Ответы
Автор ответа:
0
решение смотреть во вложениях
Приложения:
Похожие вопросы
Предмет: Математика,
автор: Аноним
Предмет: Математика,
автор: popovnikita1501
Предмет: Қазақ тiлi,
автор: zanelbaban
Предмет: Физика,
автор: olecika
Предмет: Алгебра,
автор: TemaTema9