Предмет: Алгебра,
автор: NLOsha
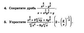
Помогите, пожалуста
ОЧЕНЬ ПРОШУ
Приложения:
Ответы
Автор ответа:
0
...................................................................
Приложения:
Похожие вопросы
Предмет: Математика,
автор: Аноним
Предмет: Математика,
автор: vdara8228
Предмет: Математика,
автор: Аноним
Предмет: Алгебра,
автор: anastasiyafrenov
Предмет: История,
автор: vladilen597