Предмет: Математика,
автор: k7774010
Воды 240 гр
Соли 10 гр
Найти % содержание соли в воде
50 гр воды испарилось
Ответы
Автор ответа:
0
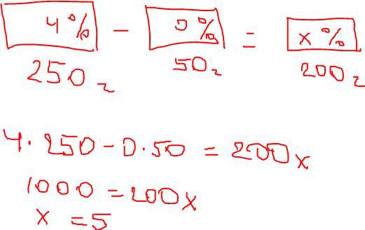
Первоначальный раствор 240+10=250 г
% соли в нем = 10/250*100=4%
А теперь "метод стаканчиков" ;)
Ответ будет 5% !!! (потому что 50 г воды испарилось)
% соли в нем = 10/250*100=4%
А теперь "метод стаканчиков" ;)
Ответ будет 5% !!! (потому что 50 г воды испарилось)
Приложения:
Похожие вопросы
Предмет: Химия,
автор: Jimjimm
Предмет: Физика,
автор: mubirodamailru
Предмет: Биология,
автор: andrejserikov6287
Предмет: Геометрия,
автор: Coderac
Предмет: Математика,
автор: sofasofia123