Предмет: Алгебра,
автор: ImaginationToHell
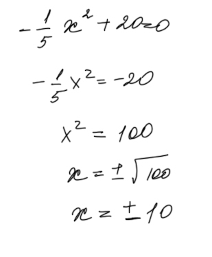
Решите пожалуйста уравнение -1/5x^2+20=0
Ответы
Автор ответа:
0
Решение в прикрепленном файле.
Приложения:
Похожие вопросы
Предмет: Математика,
автор: Аноним
Предмет: Математика,
автор: KSENIYASHAT1465
Предмет: Геометрия,
автор: elenabajkovskaa
Предмет: Алгебра,
автор: anechkaterente
Предмет: Обществознание,
автор: Хорошистый