Предмет: Математика,
автор: maiklch
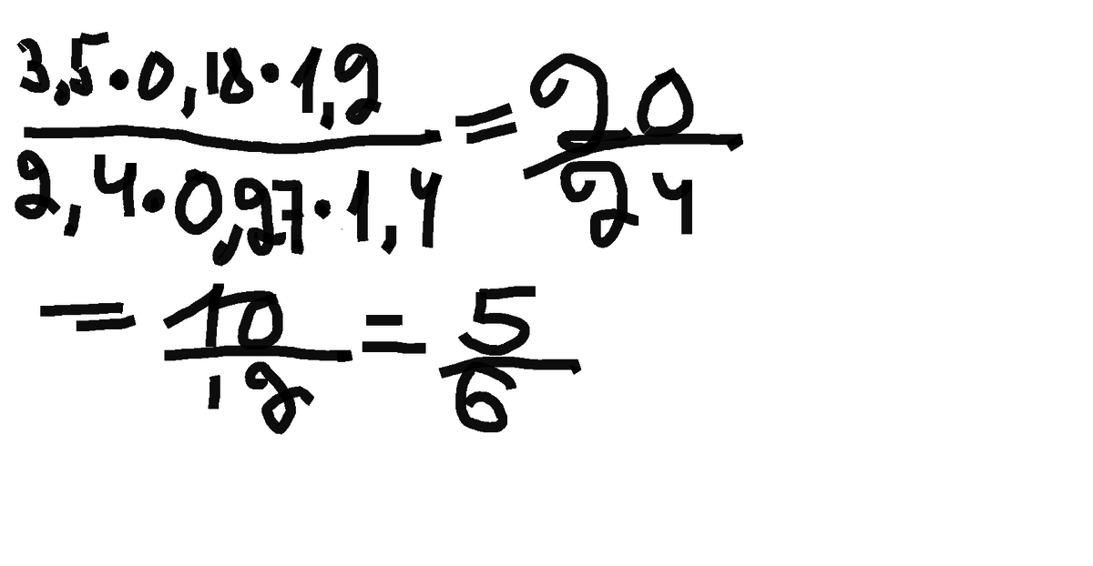
Ответ правильный? Спасибо!
Приложения:
Ответы
Автор ответа:
0
Неправильно решен пример, там никак нельзя получить 20/24.
Автор ответа:
0
можно
Автор ответа:
0
мы дроби умножаем на 10
Автор ответа:
0
7560/9072 тогда получится, а не 20/24
Похожие вопросы
Предмет: Українська література,
автор: skskxjcy
Предмет: Қазақ тiлi,
автор: toropovaksenia69
Предмет: Алгебра,
автор: vorobevav220
Предмет: История,
автор: KDE23
Предмет: Алгебра,
автор: withmyself