Предмет: Алгебра,
автор: redial
Помогите вычислить задачу в файле
Спасибо
Приложения:
Ответы
Автор ответа:
0
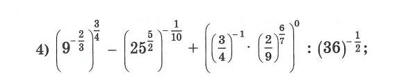
=9^(-1/2)-25^(-1/4)+1/36^(-1/2)=1/3-1/√5+6=6_1/3-√5/5.
Автор ответа:
0
=9^(-2/3 *3/4) -5^(2* 5/2 *(-1/10)) + 1: 6^(2*(-1/2))= (3^2)^(-1/2) - 5^(-1/2) +
+1 : 6^(-1)=3^(-1) -5^(-1/2) +1 :(1/6)=1/3 - (1/5)^(1/2) +6 =6 + 1/3-1/√5= 6(1/3) -√5/5
+1 : 6^(-1)=3^(-1) -5^(-1/2) +1 :(1/6)=1/3 - (1/5)^(1/2) +6 =6 + 1/3-1/√5= 6(1/3) -√5/5
Похожие вопросы
Предмет: Математика,
автор: andreeevvval
Предмет: Математика,
автор: ailitasajhetdinova
Предмет: Английский язык,
автор: nurai080619
Предмет: Биология,
автор: anetka2002
Предмет: Математика,
автор: kazavakatr