Предмет: Геометрия,
автор: maha200063
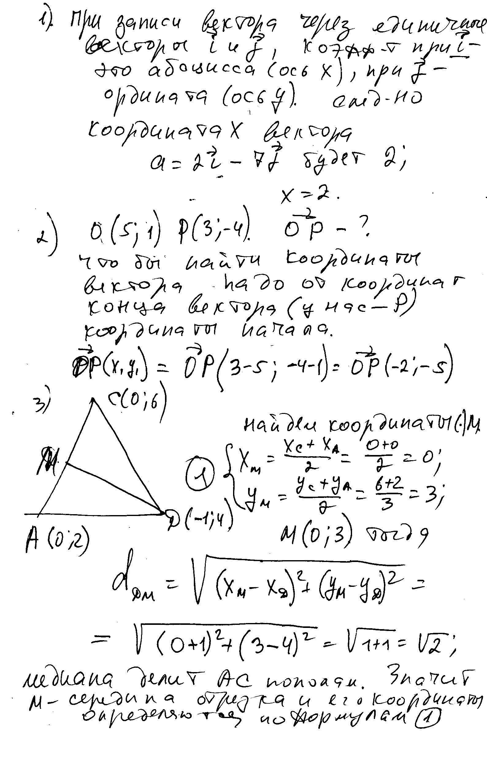
укажите абсциссу вектора a=2l-7j
Срооочно!!!!!!!!
И вот эти еще:
1)Даны точки О(5:1) и Р(3:-4).Найдите координаты вектора ОР
2)дан треугольник с вершинами в точках А(0:2)
С(0:6)
D(-1:4)
Найдите длину медианы DM
Ответы
Автор ответа:
0
решение в скане.................
Приложения:
Похожие вопросы
Предмет: Қазақ тiлi,
автор: SakuraUchiha997
Предмет: Математика,
автор: verasarapul201123
Предмет: Химия,
автор: burcevainna0
Предмет: Математика,
автор: anton11009900