Предмет: Математика,
автор: Nickelson
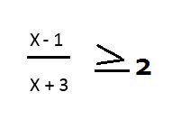
Помогите найти действительные корни уравнения и решить неравенство, пожалуйста, желательно с объяснением действий.
1) действительные корни 2) неравенство
Приложения:
Ответы
Автор ответа:
0
решение в приложении.
Приложения:
Похожие вопросы
Предмет: Геометрия,
автор: sashakozlov22233444
Предмет: Литература,
автор: Peoplechildrenpapap
Предмет: История,
автор: polinavslvsk
Предмет: Математика,
автор: wert7
Предмет: Математика,
автор: TERMINATOR54