Предмет: Математика,
автор: KSG7K
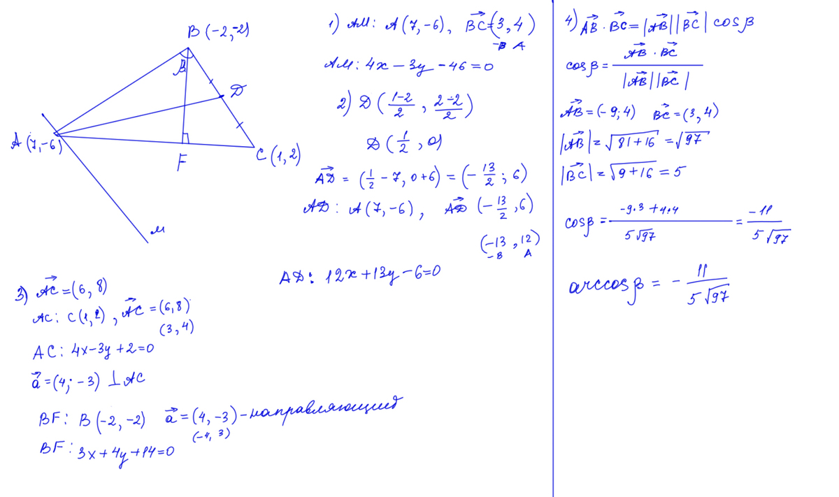
Треугольник задан вершинами А (7; —6), В(—2; —2) и С(1; 2).
Найти: 1) уравнение прямой AM, параллельной стороне ВС; 2) уравнение медианы AD 3) уравнение высоты BF; 4) угол В
Ответы
Автор ответа:
0
Решение в прикрепленном файле.
Приложения:
Похожие вопросы
Предмет: Английский язык,
автор: hshejaha
Предмет: Русский язык,
автор: hfudiriei7
Предмет: Қазақ тiлi,
автор: darikamshat
Предмет: Биология,
автор: katyamalik