Предмет: Алгебра,
автор: chinokoksana
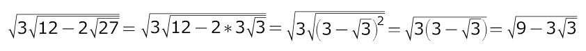
Выполните действие
√(3∙(√(12-2√(27)))
Ответы
Автор ответа:
0
под вторым корнем полный квадрат... он извлечется)))
Приложения:
Автор ответа:
0
все это весь ответ?
Автор ответа:
0
все это это решение... ответ в конце...
Похожие вопросы
Предмет: Алгебра,
автор: deisan228
Предмет: Алгебра,
автор: Аноним
Предмет: Другие предметы,
автор: 2000Madikosha2000
Предмет: Математика,
автор: blatsk