Предмет: Алгебра,
автор: Leongard75
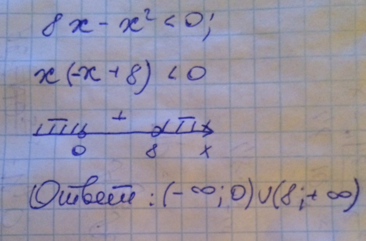
Укажите множество решений неравенства 8x-x^2<0.
Ответы
Автор ответа:
0
Решение на фото.....
Приложения:
Автор ответа:
0
Точно вспомнил.
Автор ответа:
0
Спасибо
Автор ответа:
0
Метод интервалов?)
Похожие вопросы
Предмет: Английский язык,
автор: rrobovoin
Предмет: Русский язык,
автор: Аноним
Предмет: Қазақ тiлi,
автор: kozinatanya83
Предмет: Физика,
автор: мишаtigr
Предмет: Химия,
автор: Аноним