Предмет: Алгебра,
автор: alena7755
Производная!
Помогите пожалуйста с алгеброй,желательно подробно)
Заранее большое спасибо!
Приложения:
Ответы
Автор ответа:
0
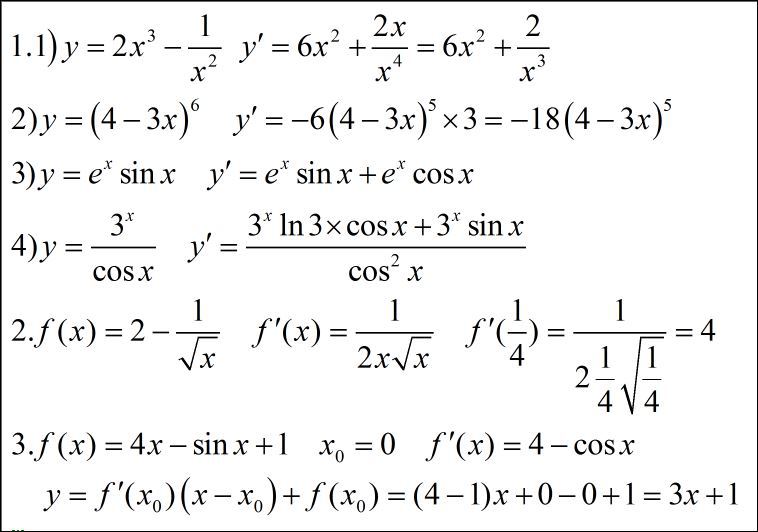
решение смотри во вложении
Приложения:
Автор ответа:
0
СПАСИБО БОЛЬШОЕ!
Похожие вопросы
Предмет: География,
автор: alidanminecraft
Предмет: Английский язык,
автор: snnsnsbsg
Предмет: Информатика,
автор: revyakina62
Предмет: Математика,
автор: glebzenkov02
Предмет: Математика,
автор: 59731246040572324775