Предмет: Алгебра,
автор: Tamara1616
Помогите, пожалуйста, с 1; 5;8. Ответ какой-то сомнительный получается.
Желательно ответ во вложении.
Приложения:
Ответы
Автор ответа:
0
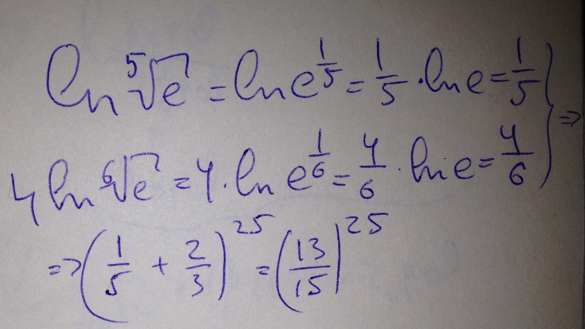
1. Решение в приложенном файле. Ответ: 3/2.
5. Решение аналогично решению в приложенном файле. Ответ: 1.
8. Решение в приложенном файле. Ответ: log3(21 / 19^1/2).
Приложения:
Автор ответа:
0
по поводу № 8 - меня терзают смутные сомнения... там по-моему основание 49, а не 19...
Приложения:
Похожие вопросы
Предмет: Информатика,
автор: kaberov2017
Предмет: Физика,
автор: Аноним
Предмет: Алгебра,
автор: 892843536616l
Предмет: Физика,
автор: Маша2453332
Предмет: История,
автор: оксана40