Предмет: Алгебра,
автор: sashkausin
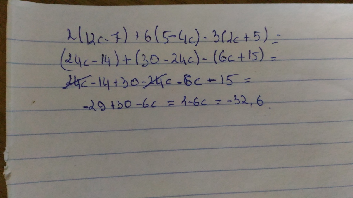
Найдите зачение выражения 2(12с-7)+6(5-4с)-3(2с+5) ПРИ С=5,6
Ответы
Автор ответа:
0
Вот, как-то так, можно еще проверку сделать, но это 100% правильно)
Приложения:
Похожие вопросы
Предмет: Другие предметы,
автор: rozmatovZaki
Предмет: Математика,
автор: anzelika81
Предмет: Английский язык,
автор: 87776135901
Предмет: Литература,
автор: Аэминка