Предмет: Математика,
автор: музыка19
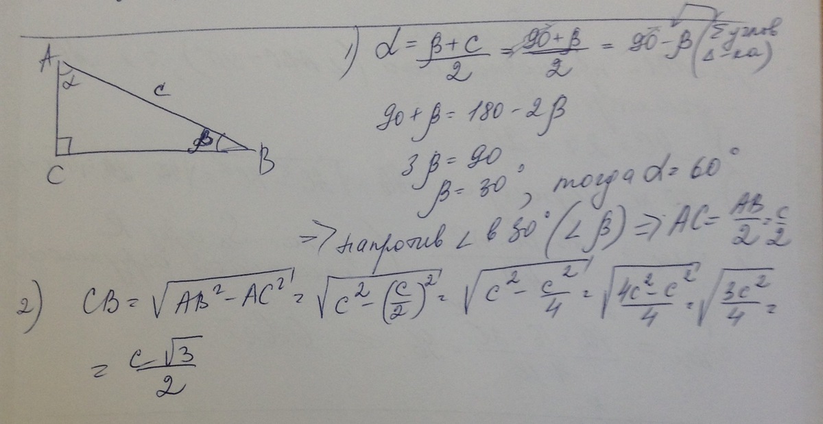
в прямоугольном треугольнике один из углов равен среднему арифметическому двух других углов найдите катеты этого треугольника если его гипотенуза равна с
Ответы
Автор ответа:
0
Смотри решение во вложении
Приложения:
Похожие вопросы
Предмет: Математика,
автор: dimagunko08
Предмет: Қазақ тiлi,
автор: IamAkonia10
Предмет: Қазақ тiлi,
автор: damirdamirovia
Предмет: Математика,
автор: annikitenko201
Предмет: Литература,
автор: dimaofm