Предмет: Алгебра,
автор: natasha20009
Помогите пожалуйста^_^.ОЧЕНЬ НАДО .Единицей отмечено.
Приложения:
Ответы
Автор ответа:
0
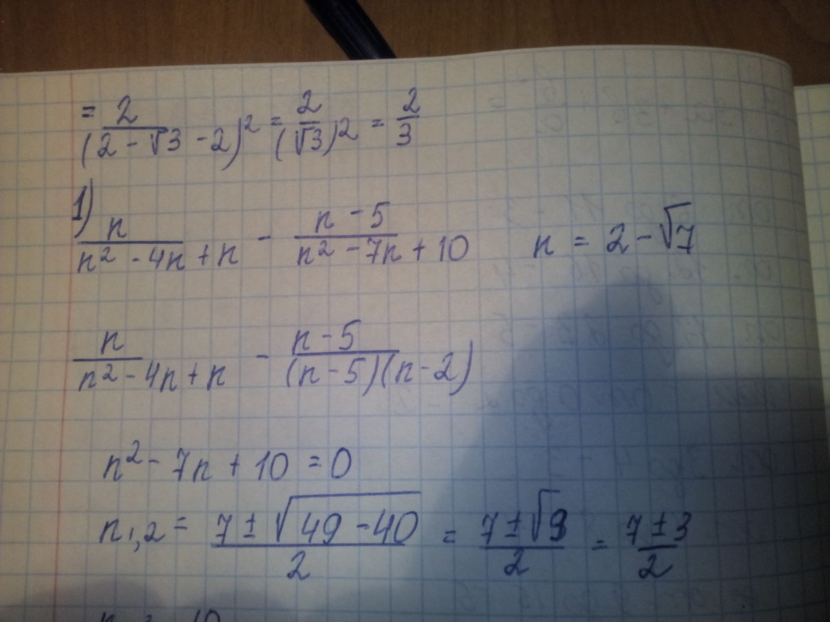
Решение
n/(n² - 3n) - 1/(n - 2) = [n*(n - 2) - (n² - 3n)] / [ (n² - 3n) * ( n - 2)] =
= n / [n* (n - 3) * ( n - 2)] = 1 / [(n - 3) * ( n - 2)]
n/(n² - 3n) - 1/(n - 2) = [n*(n - 2) - (n² - 3n)] / [ (n² - 3n) * ( n - 2)] =
= n / [n* (n - 3) * ( n - 2)] = 1 / [(n - 3) * ( n - 2)]
Автор ответа:
0
Спасибо^-^
Автор ответа:
0
Решение
n/(n² - 3n) - 1/(n - 2) = [n*(n - 2) - (n² - 3n)] / [ (n² - 3n) * ( n - 2)] =
= n / [n* (n - 3) * ( n - 2)] = 1 / [(n - 3) * ( n - 2)]
n/(n² - 3n) - 1/(n - 2) = [n*(n - 2) - (n² - 3n)] / [ (n² - 3n) * ( n - 2)] =
= n / [n* (n - 3) * ( n - 2)] = 1 / [(n - 3) * ( n - 2)]
Похожие вопросы
Предмет: Другие предметы,
автор: xiaomi6acom
Предмет: Математика,
автор: sadvokasovaasema57
Предмет: Математика,
автор: roman4iku
Предмет: История,
автор: VladaBalakireva
Предмет: Литература,
автор: Аноним